Dugaan Korupsi Sosialisasi 3 Pilar Di Siabu, GNPK RI Segera Lapor Ke Kejati Sumut

bbnewsmadina.com, – Mandailing Natal, Dugaan korupsi kegiatan sosialisasi 3 Pilar sumber anggaran Dana Desa (DD) 2025 di Kecamatan Siabu Kabupaten Mandailing Natal (Madina), segera dilaporkan ke Kejaksaan Tinggi Sumatera Utara (Kejati Sumut).

Demikian ditegaskan Sekretaris Gerakan Nasional Pencegahan Korupsi Republik Indonesia (GNPK RI) Sumut, Yulinar Lubis kepada wartawan, Rabu (09/07/2025).

Yulinar mengungkapkan dugaan korupsi ini telah merugikan keuangan negara dan harus menjadi atensi Kejati Sumut untuk dituntaskan, sebab ada persekongkolan jahat dalam melaksanakan kegiatan tersebut.

“Sama kita ada RAB kegiatan itu, dan pelaksanaannya dilapangan tidak sesuai dengan juklak dan juknis yang diatur. Dari investigasi tim lapangan, ada 2 kegiatan yang dibuat bersamaan dan waktu pelaksanaannya tidak sesuai dengan yang ada di RAB. Sehingga dugaan kita ada korupsi disana,”sebutnya.

Diketahui anggaran untuk satu kegiatan program 3 pilar yang melakukan penyuluhan/sosialisasi sebesar Rp.5.320.000 x 2 dengan total Rp.10.640.000/desa yang ada di Kecamatan Siabu.

Dan berdasarkan informasi dan data yang dihimpun sebanyak 26 desa yang ada di Kecamatan siabu telah dikumpulkan di SMAN 2 Siabu pada tanggal 28 Juni 2025 lalu.

“seharusnya, berdasarkan juklak dan juknis yang ada di RAB, kegiatan sosialisasi 3 pilar itu dilaksanakan di setiap desa, bukan di satukan. Dan kegiatan ini sesuai RAB dilaksanakan selama 8 jam dalam setiap kegiatan bukan 2 jam seperti yang kita temukan di SMAN 2 Siabu kemaren,”ungkapnya.

Yuli pun menegaskan amat sangat menyanyangkan apa yang dilakukan Camat Siabu, Putra Sudrajat dalam mengkodinir kegiatan ini. Seharusnya, pimpinan kecamatan itu menjalankan kegiatan ini sesuai dengan apa yang telah diatur dalam RAB kegiatan.

Sedangkan itu beberapa Kepala Desa yang ada di kecamatan Siabu sempat dikonfirmasi wartawan terkait ini. Mereka sempat enggan memberikan keterangan karena takut. Tetapi karena merasa selama ini juga mendapat tekanan, akhir mereka buka suara.

“Sebenarnya pak dari 26 desa yang ada di Kecamatan siabu, hanya 4 desa pencairan tahap pertama yang harus melaksanakan kegiatan 3 pilar ini. Sisanya 22 desa lagi itu pelaksanaannya untuk pencairan dana desa tahap 2,”terangnya.

Tapi pak lanjutnya, kita mendapat intimidasi bila tak serentak melaksanakan kegiatan ini dengan ucapan Pak Camat nanti kami akan mendapat masalah bila tak melaksanakannya. Akhirnya kami ambil kebijakan untuk melakukan dana pendahuluan pak.

“Anggaran untuk kegiatan itu sudah tidak ada lagi pak, karena sudah kita setorkan semua kepada kasi PMD Kecamatan Siabu, Sidori. Jadi bila ada pun pemberitahuan Camat untuk dilaksanakan kembali setelah di SMAN 2 Siabu itu, dari mana lagi anggarannya pak,”keluhnya sedih.

Diketahui program 3 pilar ini adalah sosialisasi hukum dan Kamtibmas yang dilakukan oleh Kejaksaan, Kepolisian dan TNI sebagai narasumber/pembicara. Dan berdasarkan juklak dan juknisnya harus dilaksanakan di setiap desa selama 8 jam/kegiatan, bukan di kumpulkan dalam satu tempat.

Sementara itu Camat Siabu, Putra Sudrajat ketika dikonfirmasi terkait ini, Rabu (02/07/2025) lalu menyebutkan akan kembali melaksanakan kegiatan ini perdesa setelah HUT Bhayangkara ke 79 selesai.

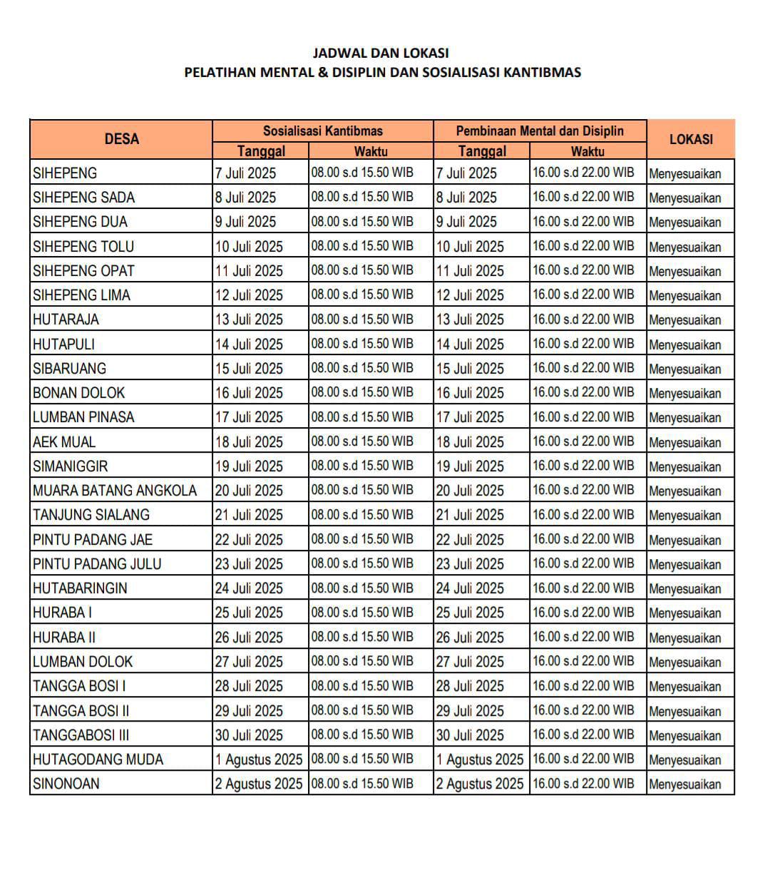
Lalu, beredar tabel di group Whatsapp Kades Se-kecamatan Siabu bahwa akan dilaksanakan kembali mulai tanggal 7 Juli 2025 yang diawali dari desa Sihepeng Raya.

Namun berdasar investigasi kegiatan itu belum ada terlaksana, hingga di tanggal 8 Juli 2025 di Desa Sihepeng Sada dan tanggap 9 Juli 2025 di desa Sihepeng Dua. (DN)

Tinggalkan Balasan